Karşıyaka Sınav Koleji Öğrencilerinden Çarpıcı Hava Kirliliği Araştırması

Haber Giriş Tarihi: 14.02.2025 09:39
Haber Güncellenme Tarihi: 23.02.2025 17:03
Kaynak: Haber Merkezi
gazeteciniz.com
Karşıyaka Sınav Koleji Öğrencilerinden Çarpıcı Hava Kirliliği Araştırması

Karşıyaka Sınav Koleji’nin liseli öğrencileri, günümüzde en önemli çevre sorunlarından olan hava kirliliği üzerine bir araştırma yaptı. Araştırma sonuçlarını yayınladıkları uluslararası makale ile paylaşan öğrenciler hava kirliliğinin insanların ruh sağlığından, tarımsal üretime, zarar verdiği deniz ekosistemindeki kabuklu canlılardan, neden olduğu haşere istilalarına kadar uzanan büyük boyutlu etkilerine dikkat çekti.  

Karşıyaka Sınav Koleji Anadolu Lisesi öğrencileri, The Young Reporters for the Environment

(YRE) / "Çevrenin Genç Sözcüleri" programı kapsamında, Coğrafya Öğretmeni Birol Yıldız

danışmanlığında hazırladıkları kapsamlı bir makale ile hava kirliliği ve artan karbon

emisyonlarının dünya üzerindeki yıkıcı etkilerini ortaya koydu.

ACİL ÇÖZÜM ÇAĞRISI

Yiğit Ali Gülbahar, Galip Akyol, Deniz Emre Budak, Sevgi Gülenç, Arya Oktay ve Asya Çeker tarafından kaleme alınan çalışma, insan sağlığından tarıma, vahşi yaşamdan ekonomik dengelere kadar pek çok alanda derinlemesine analizler sunarken, bilimsel veriler ışığında geleceğe yönelik acil çözüm çağrısı yapıyor.

Makalede, hava kirliliğinin solunum hastalıklarından kansere, mental sağlık sorunlarından göç dalgalarına kadar uzanan etkileri vurgulanırken, asit yağmurlarının tarım ürünlerini nasıl zehirlediği ve deniz ekosistemlerini çöküşe sürüklediği çarpıcı örneklerle anlatılıyor.

Öğrenciler bu çalışmalarıyla, endüstriyel faaliyetler sonucu atmosfere salınan kimyasalların hayvanlarda üreme bozukluklarına yol açtığını ve besin zincirini tehdit ettiğini de bilimsel kaynaklarla destekleyerek ortaya koydu.

''BUGÜN HAREKETE GEÇİLMELİ’’

“Doğa bize değil, biz doğaya aitiz!” diyen gençler, bu çalışmayla yalnızca çevre sorunlarını belgelemekle kalmıyor, aynı zamanda "geleceği kurtarmak için bugün harekete geçme" mesajı veriyor. Çevrenin Genç Sözcüleri rehberliğinde hazırlanan makale, Karşıyaka Sınav Koleji’nin çevre bilincine verdiği önemin de bir göstergesi olma özelliği taşıyor.

İşte Öğrencilerin hazırladığı o makale:

Hava Kirliliği ve Artan Karbon Emisyonlarının İnsanlar ve Hayvanlar Üzerindeki Etkileri

Hazırlayanlar: Yiğit Ali Gülbahar, Galip Akyol, Deniz Emre Budak, Sevgi Gülenç, Arya Oktay Asya Çeker

I. Giriş

Hava kirliliği ve bunun insan sağlığı, hayvan habitatları ve doğanın dengesi üzerindeki etkileri en az 50 yılı aşkın bir süredir endişe kaynağıdır. Çalışmalar ortaya çıkmaya devam ettikçe, karbon emisyonlarının çevremiz üzerindeki etkilerinin her zamankinden daha fazla gözlemlenebilir olduğu açıktır.

Şehir havası ozon (O3), karbon monoksit (CO), sülfür oksit (SO4) ve nitrojen oksit (NO3) gibi gaz bileşiklerinden oluşur. Aerodinamik çapı 2,5 µm'den küçük partiküller solunum yollarının derinliklerine yerleşerek akciğerlerde iltihaplanmaya neden olabilir ve vücuttaki hücresel fonksiyonları engelleyebilir. (2)

Hava kirliliğinin hayvanları nasıl etkilediği konusunda da çok sayıda çalışma yapılmıştır. Flor havada yaygın olarak bulunan ve toprakta, suda ve hayvan yemlerinde yaygın olarak dağılan bir kimyasaldır. Araştırmalar, florun hayvanlarda normal kalsifikasyona müdahale ederek kemiklerin sertleşmesiyle sonuçlanan bir durum olan florozise yol açan bir protoplazmik zehir olarak hareket ettiğini göstermektedir.

Donora, Pennsylvania'da 1948 yılında meydana gelen hava olayının ardından yapılan ayrıntılı bir araştırma, etkilenen bölgenin yakınındaki hayvanların hastalandığını ve bazılarının yoğun duman haftası boyunca öldüğünü ortaya koymuştur. (3)

Hava kirliliğinin ve artan karbon emisyonlarının 21. yüzyıldaki etkileri önemli olabilir, ancak istatistikler uzun vadeli etkilerin daha az tahmin edilebilir ve öngörülebilir olduğunu göstermektedir.

II. Karbon Döngüsünün Bozulması

Karbon döngüsü, doğanın karbon atomlarını yeniden kullanma yoludur. İnsanlar, oksijenin (O2) alındığı ve enerji (ATP) oluşturmak için glikoz (şeker) ile birleştirildiği solunum yoluyla atmosfere karbondioksit ve su salarlar. Atmosferdeki karbondioksit (CO2) fotosentez aşamalarından geçerek tekrar oksijene (O2) dönüştürülür.

Artan sera gazı emisyonları karbon kaynakları arasındaki dengeyi önemli ölçüde bozmaktadır. Fosil yakıtların yakılması, ormansızlaşma, çimento üretimi, gazla çalışan araçlar ve daha fazlası doğal karbon yutaklarının ezilmesine katkıda bulunmaktadır. Daha yüksek karbondioksit (CO2) konsantrasyonları atmosferde daha fazla ısı tutarak küresel ısınmaya neden olur. Okyanus asitlenmesi, yüksek sera gazı seviyelerinin bir başka etkisidir, çünkü okyanuslar salınan karbondioksitin (CO2) yaklaşık %30'unu emer ve bu da su ile reaksiyona girerek karbonik asit oluşturur.

Asitleşme mercanlar, kabuklu deniz hayvanları ve planktonlar gibi deniz organizmalarını kalsiyum karbonat kabuk veya iskelet oluşturamaz hale getirerek deniz besin ağlarının ve ekosistemlerinin bozulmasına neden olur.

Yükselen CO2 seviyeleri ormanların, tundraların ve okyanus ekosistemlerinin karbon yutaklarından karbon kaynaklarına dönüşerek devrilme noktalarına ulaşmasına neden olabilir. Bu dönüşüm ekosistemin çökmesine, türlerin yok olmasına ve biyolojik çeşitliliğin kaybolmasına neden olur. Daha yüksek sıcaklıklar ve haşere istilası, boreal ormanların geniş alanlarını öldürebilir, depolanan karbonu serbest bırakabilir ve pozitif bir geri besleme döngüsüne neden olabilir.

Tarihte küresel ısınmanın nihayetinde termal tabakalaşmaya, buharlaşmanın artmasına ve anoksik olaylara yol açtığı örnekler olmuştur. Senomaniyen-Turoniyen Sınır Olayı'nın (Okyanus Anoksik Olayı 2) gerçekleştiği zamanlarda, yaklaşık 94 milyonYıllar önce, okyanuslarda kritik derecede oksijen (O2) tükenmişti ve atmosferdeki karbondioksit (CO2) varlığı aşırı düzeydeydi. (5) Bu olaylar kombinasyonu yaygın deniz yok oluşlarına, siyah şeyl oluşumlarına, sera gazı seviyelerinin artmasına, hidrojen sülfür (H2S) toksisitesine ve biyojeokimyasal döngülerin bozulmasına neden olmuştur. (5)

Şekil 1 OAE-2 sırasında çalışma alanlarının paleo-coğrafyası (5)

Karbon kaynakları ve yutakları arasındaki dengesizliğin, insanlarda ısıya bağlı hastalıkların daha yüksek oranda görülmesine katkıda bulunduğu kaydedilmiştir. Artan sıcaklıklar sıcaktan bunalma, sıcak çarpması ve kardiyovasküler stres riskini artırmaktadır. Daha yüksek CO2 seviyelerinin alerjen bitkilerin (örneğin yakup otu) büyümesini teşvik ettiği ve astım gibi solunum sorunlarını kötüleştirdiği de gözlemlenmiştir. Daha sıcak iklimler sıtma, dang ve Lyme hastalığı gibi vektör kaynaklı hastalıkların yeni bölgelere yayılmasını da kolaylaştırmaktadır.

III. Hava Kirliliği

Hava kirliliği, fosil yakıt ürünlerinin yanması ana kaynak olmak üzere çeşitli kaynaklardan kaynaklanmaktadır. (7) Hava kirleticileri kaynaklarına, kimyasal bileşimlerine, boyutlarına ve iç veya dış ortamlara salınma şekillerine göre sınıflandırılabilir. (7) Doğrudan atmosfere yayılan kirleticiler birincil kirleticiler olarak bilinirken, diğer kirleticiler veya atmosferik gazlarla kimyasal reaksiyonlar sonucu oluşan kirleticiler ikincil kirleticiler olarak bilinmektedir. (7) Bu ayrım, azaltım açısından önemlidir. (7)

Kirleticilerin artan dozlarının sırayla koruyucu ve yaralayıcı hücresel tepkilere neden olduğu kaydedilmiştir. (7) Epidemiyolojik, insan ve hayvan modeli çalışmaları, dizel egzoz partiküllerinin(DEP) hava yolu iltihabını artırdığını ve astım ve alerjiyi şiddetlendirip başlatabildiğini göstermiştir. (7) Dizel yanması, akciğerler için zararlı olan DEP'lerin, nitrojen oksitlerin ve ozon öncüllerinin üretimiyle sonuçlanır. (7)

Çok sayıda in vitro ve hayvan çalışması ozonun solunum yolu üzerindeki enflamatuar etkilerini araştırmıştır. (7) Sağlıklı gönüllü insanlarda yapılan kontrollü ozon maruziyeti çalışmaları, zorlu vital kapasitede inspirasyonda göğüs rahatsızlığı ve artmış nonspesifik hava yolu aşırı duyarlılığı değişimleri olduğunu gözlemlemiştir. (7)Partikül madde (PM), ozon, nitrojen oksitler (NOx) ve uçucu organik bileşikler (VOC), vücuda girdiklerinde reaktif oksijen türleri (ROS) oluşturabilir. (7) ROS, lipidler, proteinler ve DNA gibi biyolojik makromoleküllere zarar verebilen oldukça reaktif moleküller olan süperoksit anyonu (O2--) ve hidroksil radikalleri (OH-) gibi serbest radikalleri içerir. (7) ROS lipid peroksidasyonuna yol açarak hücre membranlarına zarar verebilir ve hücrelere ve dokulara daha fazla zarar verebilecek toksik yan ürünlerin (örn. aldehitler) oluşmasına neden olabilir. ROS proteinleri modifiye ederek yapılarında ve işlevlerinde değişikliklere yol açabilir, enzimatik aktiviteyi bozabilir ve hücre sinyal yollarını etkileyebilir. (7) ROS, mutasyonlara, genomik istikrarsızlığa ve karsinogeneze neden olabilecek DNA kırılmalarına, baz modifikasyonlarına ve çapraz bağlanmaya neden olabilir. (7)

Kirleticiler enflamatuar yolları aktive ederek pro-enflamatuar sitokinlerin (örn. TNF-α, IL-6), kemokinlerin (örn. IL-8) ve prostaglandinler gibi enflamatuar aracıların salınmasına yol açabilir.

Nükleer Faktör-kappa B (NF-κB) yolu kirleticilere yanıt olarak aktive olur ve inflamasyon, bağışıklık yanıtı ve hücre sağkalımında rol oynayan genlerin transkripsiyonuna yol açar. NF-κB'nin kronik aktivasyonu astım, KOAH ve kardiyovasküler hastalıklar da dahil olmak üzere birçok enflamatuar ilişkilendirilmektedir. Makrofajlar, nötrofiller ve T-hücreleri gibi bağışıklık hücrelerinin aktivasyonu, sitokinlerin ve kemokinlerin salınmasına neden olarak iltihaplanmayı ve doku hasarını daha da artırır. Hava kirliliğinin DNA metilasyonu, histon modifikasyonları ve kodlamayan RNA ifadesi de dahil olmak üzere epigenetik mekanizmaları etkilediği gözlemlenmiştir. Bu değişiklikler gen ifadesinin değişmesine yol açarak astım, kardiyovasküler hastalıklar ve kanser gibi hastalıklara katkıda bulunabilir.

PM2.5 ve NOx gibi hava kirleticiler, kan damarlarını kaplayan endotel hücrelerinin aktivasyonunu tetikleyerek vasküler enflamasyon, oksidatif stres ve vasküler geçirgenliğin artmasına neden olabilir.

IV. Ruh Sağlığı Üzerindeki Etkileri

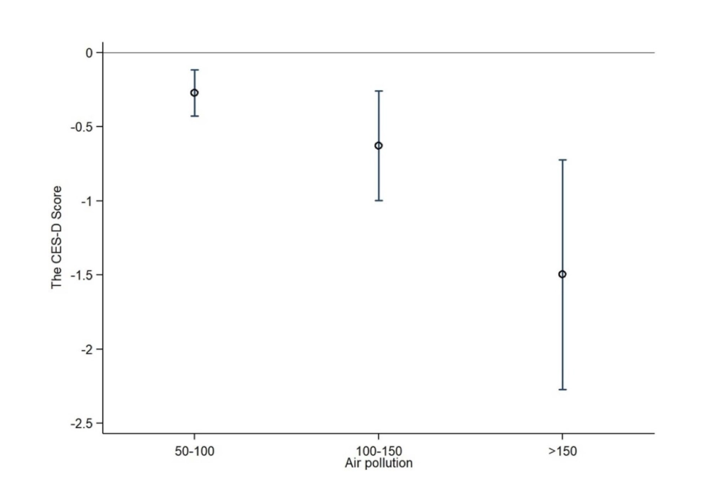
Hava kirliliğinin ruh sağlığı üzerindeki olumsuz etkilerini inceleyen az sayıda çalışma bulunmaktadır. Tzivian (2015), hava ve gürültü kirliliğinin yetişkinlerde ruh sağlığı üzerindeki etkilerine ilişkin mevcut araştırmaları özetlemiş ve hava kirliliğinin ve çevresel gürültünün uzun vadeli etkilerine ilişkin sırasıyla toplam on beş ve sekiz makale çıkarmıştır; hava kirliliği ile ruh sağlığı arasında bir

ilişki olduğunu tahmin etmişlerdir. (Zhiming Yang ve diğerleri 2021 Environ. Res. Lett.) (1) Epidemiyolojik Çalışmalar Merkezi Depresyon (CES-D) ölçeği skorunun daha az ve daha fazla hava kirliliğine maruz kalan bireylerde karşılaştırıldığı bir çalışma, bir grup araştırmacı tarafından Çin Ailesi'nden toplanan mikro veriler kullanılarak yapılmıştır. y Panel Çalışmaları (CFPS) 2010 ve 2014. Bu çalışma, çapı 2,5 µm'den küçük olan partiküllerin konsantrasyonundaki artışın akıl hastalığı insidansında artışa yol açtığını göstermektedir.

(1)Şekil 2 Çin'in ortam hava kalitesi standartlarına göre farklı seviyelerdeki hava

kirliliğinin ruh sağlığı üzerindeki potansiyel etkisi (1)

V. Asit Yağmurları

Asit yağmurları fosil yakıtların yanması sonucu ortaya çıkan sülfür dioksit SO2) ve nitrojen oksit (NOx) emisyonlarından kaynaklanır ve bunlar atmosferdeki su molekülleri ile reaksiyona girerek (oksidasyon) sırasıyla H2SO4 ve HNO3 asitlerini üretirler (Schwartz, 1989). (8) Bu iki asidin oluşum prosedürleri aşağıdaki gibidir:

Sülfürik asit (H2SO4) oluşumu:

Kömürdeki sülfür oksijen içinde yanarak sülfür dioksit oluşturur. Tipik olarak, sülfürün %5'inden daha azı SO2 içinde çözülür;

S (kömürden)+ O2(g)→ SO2(g).

Bu SO2 atmosferdeki O2 ile reaksiyona girerek sülfür trioksit (SO3) oluşturur;

SO2(g) + O2(g) → SO3(g). Bu SO3 atmosferdeki H2O ile reaksiyona girerek H2SO4 oluşturur;

SO3(g) + H2O(l) → H2SO4(aq).

Nitrik asit (HNO3) oluşumu:

Nitrik oksit (NO) oksijen O2) ile reaksiyona girerek nitrojen dioksit (NO2) oluşturabilir ve bu da NO ve bir oksijen radikali (O2-) üretmek için güneş ışığı (hυ) tarafından tekrar parçalanabilir;

2NO(g) + O2(g) → 2NO2(g), NO2(g) +hυ → NO(g) + O2-.

Bu O2-, ozon (O3) oluşturmak için O2 ile reaksiyona girer;

O2-+ O2(g) → O3(g).

Ozon varlığında, NO daha fazla NO2 oluşturur;

NO(g) + O3(g) → NO2(g) + O2(g).

O2- , H2O ile reaksiyona girerek hidroksil radikali (OH-) üretir;

O2- + H2O(l) → 2OH-.

Bu OH- nitröz asit (HNO2) üretmek için NO ile reaksiyona girer ve nitrik asit (HNO3) üretmek için NO2 ile reaksiyona girer;

NO(g) + OH- → HNO2(aq), NO2(g)+ OH-

HNO3(aq).

Asit yağmurları insanları ve hayvanları doğrudan ve dolaylı olarak etkiler. Asit yağmurlarından kaynaklanan sülfür dioksit ve nitrojen oksit emisyonları göz, burun, boğaz tahrişlerine ve kuru öksürük, astım, baş ağrısı ve bronşit gibi akciğer rahatsızlıklarına neden olur.

İnsanların tükettiği su, mahsul veya hayvanlar tarafından emilen toksik metaller ciddi sinir hasarına, akciğer rahatsızlıklarına (astım ve bronşit), beyin hasarına, böbrek sorunlarına, kansere, Alzheimer hastalığına neden olur ve hatta ölüme yol açabilir.

Balıklar da asit yağmurlarından ciddi şekilde etkilenmekte, kan kimyaları değişmekte ve yumurta gelişimleri gecikmektedir. İsveç'teki bazı göller o kadar asidik hale gelmiştir ki artık balık yaşamını destekleyememektedir (EPA, 2004). pH 6'da tatlı su karidesi yaşayamaz. 5'ten düşük pH seviyelerinde çoğu balık yumurtası çatlamaz. 4,5'e eşit veya daha düşük pH seviyelerinde hiçbir balık yaşayamaz. Salyangozlar, kerevitler ve diğer bazı omurgasızlar aside karşı çok hassastır ve asitliğin artması halinde hızla yok olabilirler. (13)

VI. Tarımsal Etkiler

Son yıllarda modern dünyada hava kirliliğinin kentsel alanlardaki tarımsal ürünler üzerindeki etkilerine nispeten az dikkat edilmiştir. Bununla birlikte, yirminci yüzyılın son 50 yılında, yüksek SO2 seviyelerinin hüküm sürdüğü dönemde İngiliz şehirlerinde birçok filtreleme çalışması yapılmıştır. Bleasdale (1973), 1950'lerin başında Manchester'da yaptığı öncü çalışmada, bir dizi oda deneyinde ortam havasına kıyasla filtrelenmiş havada SO2'ye atfedilen dramatik büyüme gelişmeleri göstermiştir. (10)

Usher (1984), Londra'daki hava kirliliğinin Londra'daki bahçelerde yetiştirilen bir dizi sebze ve süs türü üzerindeki etkilerini araştırmıştır. (10) Bu çalışmanın ana kısmı, bitkilerin ortam havası veya filtrelenmiş hava ile havalandırılan odalarda yetiştirilmesini ve her bir sahada SO2 ve NO2 konsantrasyonlarının eşzamanlı olarak ölçülmesini içeriyordu. (10) Şekil 3, Usher'in Londra'nın güneybatısındaki bir banliyöde ve kuzeydoğu Londra'nın bir iç banliyösü olan Hackney'deki Kraliyet Botanik Bahçeleri, Kew'de yetiştirilen lahana (Brassica oleracea) için elde ettiği sonuçların bir örneğini göstermektedir.

Şekil 3 Ortamdaki hava kirliliğinin Kew Gardens ve Hackney, Londra'da Brassica oleracea üzerindeki etkileri (Usher 1984) (10)

Kentsel ortam havasının büyüme üzerinde olumlu ve olumsuz etkiler yarattığına dair bu kanıt, daha sonra Honour (2004) ve Honour ve arkadaşlarının (2009) dizel egzozlarla yaptığı araştırmalarda da doğrulanmıştır. SO2 seviyeleri şu anda gelişmiş dünya şehirleri için biraz yüksek olsa da, NO2 konsantrasyonları oldukça gerçekçidir. (10)

Gelişmiş ülkelerde hava kirliliğinin kentsel ekosistemler, bahçeler ve üzerindeki etkileri konusunda endişeler olsa da, gelişmekte olan ülkelerde bu sorun çok daha ciddi boyutlardadır. (10) Kentsel tarım, çok yoksul kesimin beslenmesinde önemli bir rol oynamaktadır. Azalan verim kaçınılmaz olarak daha yüksek fiyatlara yol açarken, besin değeri üzerindeki etkilerin de ciddi sonuçları olacaktır. Chongqing'de mahsul veriminin büyük ölçüde azaldığı ve haşere saldırılarının büyük ölçüde arttığı zaten kaydedilmiştir (Zheng ve ark. 1996). (10)

VII. Geçim Kaynaklarının Bozulması

Özellikle yüksek kirlilik seviyelerine sahip kentsel alanlardaki topluluklar, yaşam kalitesinde düşüş yaşayabilir, açık hava etkinliklerini sınırlandırabilir, turizmi azaltabilir ve mülk değerlerini düşürebilir. Kirliliğin etkisi genellikle düşük gelirli bölgelerde daha belirgindir. (11)

İklim değişikliği ve kirliliğin neden olduğu mercan ağarması, ormansızlaşma ve biyolojik çeşitlilik kaybı, eko-turizm destinasyonlarının cazibesini azaltmakta ve turizm gelirlerine dayanan yerel ekonomileri etkilemektedir. Kötü hava kalitesi ve sıcak hava dalgaları turistler için de ciddi bir sağlık riski oluşturmakta ve turistlerin yoğun olduğu bölgelerde ziyaretçi sayısının azalmasına yol açmaktadır. (11)

Artan karbon emisyonlarına bağlı olarak yükselen deniz seviyeleri, çölleşme ve aşırı hava olayları bazı bölgeleri yaşanmaz hale getirerek insanları göçe zorlayabilir. Örneğin, ada ülkeleri ve kıyı bölgeleri yüksek risk altındadır. Çevresel bozulma nedeniyle yerinden edilme, kentsel alanlarda aşırı kalabalığa yol açarak altyapıyı, hizmetleri ve iş piyasalarını zorlayabilir. (11) Sadece bir yıl önce, birçok Etiyopyalı çoban, iklim değişikliğinin daha da kötüleştirdiği şiddetli bir kuraklıktan etkilendikten sonra iş aramaya gitmek zorunda kaldı. (12) Yarı kurak ovaların bulunduğu Kebribeya bölgesinden bir Etiyopyalının, Afrika Boynuzu'nu vuran yıkıcı kuraklık nedeniyle hayvanlarının neredeyse tamamını kaybettiği bildirildi. (12)Yerli topluluklar, özellikle de orman veya kıyı kaynaklarına bağımlı olanlar, kirlilik veya kaynakların tükenmesi nedeniyle genellikle atalarının topraklarından koparılmakta, kültürel kimliklerini ve ekonomik istikrarlarını tehdit etmektedir. (11)

Yüksek düzeyde hava kirliliği, çalışanlar arasında solunum ve kardiyovasküler hastalıkların görülme sıklığını artırarak devamsızlığa ve işgücü verimliliğinin azalmasına yol açmaktadır. Aşırı hava olayları ve sıcak hava dalgaları enerji altyapısını zorlayabilir, bu da istikrarlı enerji arzına dayanan endüstrileri ve hizmetleri sekteye uğratan elektrik kesintilerine yol açabilir. Endüstriler genellikle kirlilik kontrol önlemlerine yatırım yapmaya veya daha temiz teknolojilere geçmeye zorlanmaktadır, bu da özellikle küçük işletmeler için yüksek başlangıç maliyetleri getirebilmektedir. (11)

Astım, KOAH ve kardiyovasküler hastalıklar gibi hava kirliliğine bağlı hastalıkların görülme sıklığının artması bireyler, toplumlar ve hükümetler üzerinde mali bir baskı oluşturmaktadır. Düşük gelirli aileler için bu durum, sağlık hizmetleri ile diğer temel ihtiyaçlar arasında bir seçim yapmak anlamına gelebilir. Hava kirliliğinin neden olduğu kronik sağlık sorunları, özellikle kırılgan nüfuslarda ortalama yaşam süresini ve işgücüne katılımı azaltarak uzun vadeli ekonomik kayıplara katkıda bulunmaktadır. (11)

Çevresel bozulma, aşırı hava olayları ve kirlilikle ilgili altyapı arızaları tedarik zincirlerini kesintiye uğratarak küresel ticareti ve üretimi etkileyebilir. Hava, su ve toprak kirliliği doğal kaynakların kullanılabilirliğini azaltarak endüstriler ve tüketiciler için maliyetleri artırmaktadır. Örneğin, iklim değişikliğine bağlı su kıtlığı tarımı, enerji üretimini ve kentsel su kaynaklarını etkilemektedir. (11)

VIII. Vahşi Yaşamın Bozulması

Hava kirliliği yaban hayatının korunması için önemli tehditler oluşturmaktadır. Yer seviyesindeki ozon ve partikül maddelerin güneş ışığını engelleyerek bitki büyümesini ve birçok ürün yiyecek ve barınak için güvendiği fotosentetik aktiviteyi etkilediği gözlemlenmiştir.

PM2.5, PM10 ve karbon monoksit gibi havadaki kirleticilerin hayvanların solunum sistemlerini tahriş ettiği veya zarar verdiği, özellikle kuşlar gibi hassas akciğerlere sahip türlerde hayatta kalma oranlarını düşürdüğü bilinmektedir. Hava kirliliğine uzun süre maruz kalmak bağışıklık sistemlerini zayıflatarak hayvanları hastalıklara ve enfeksiyonlara karşı daha duyarlı hale getirir.

Kirleticiler sonunda ekosistemlere yerleşir, burada bitkilerde ve küçük organizmalarda birikerek besin zincirinin toksikleşmesine yol açar, yırtıcı kuşlar, büyük balıklar ve memeliler gibi yırtıcılara zarar verir.

Kirliliğe bağlı iklim değişikliğinin neden olduğu değişen hava modelleri ve sıcaklıkların, kuşlar gibi göçmen türlerin kafasını karıştırdığı, göç yollarını ve zamanlamalarını bozduğu kaydedilmiştir. Bu durum, üreme alanlarına çok erken ya da çok geç ulaşan kuşların böcek, tohum ya da nektar gibi kritik kaynakların en yoğun olduğu dönemi kaçırmalarına neden olarak önemli ekolojik sonuçlara yol açabilir. Bu da başarılı üreme şanslarını büyük ölçüde azaltır. Göçmen kuşlar ayrıca tozlaşma ve tohum dağılımında da kilit rol oynarlar. Zamanlama değişiklikleri bu süreçleri bozarak ekosistem sağlığını etkileyebilir.

Çevre kirliliği, cinsiyet hormonlarının üretimini veya sinyal etkinliğini değiştirerek hayvanlarda üreme yeteneklerini temelden etkiler. Örneğin çeşitli kimyasal kirleticiler, steroid hormon reseptörleri ile doğrudan veya dolaylı olarak etkileşime girerek kan cinsiyet steroidlerinin seviyelerini değiştirebilir ve cinsel gelişimi bozabilir. Bu tür kimyasallar topluca endokrin bozucu kimyasallar (EDC'ler) olarak adlandırılır. Örneğin, doğum kontrol haplarında yaygın olarak kullanılan bir östrojen olan etinilöstradiol, idrar yoluyla çevreye girebilir (Johnson & Williams 2004) ve östrojen reseptörleriyle etkileşimi yoluyla yabani balıklarda fizyolojik dişileşmeye nedenolduğu gösterilmiştir (Jobling vd. 1998, Lange vd. 2009).

(13) Endojen steroidleri taklit eden diğer çeşitli kimyasal kirleticilerin de östrojen reseptörleri (örn. bisfenol) ve androjen reseptörleri (örn. hayvan büyüme destekleyicisi trenbolon) ile doğrudan etkileşime girdiği ve üreme fizyolojisi üzerinde aşağı yönlü sonuçları olduğu bilinmektedir. (13)

Cinsiyet hormonu seviyelerindeki bu tür değişikliklerin organizmalarda üreme anatomisi ve morfolojisinin gelişimi üzerinde etkileri olabilir. Örneğin, Florida'daki Apopka Gölü'nde Amerikan timsahlarının (Alligator mississippiensis) dikofol ve DDT dökülmesi, pestisitler gibi tarımsal akış ve kanalizasyon arıtma çıkışı dahil olmak üzere bir kimyasal karışımına maruz kalması, dişilerin anormal yumurtalık morfolojisi ve alışılmadık derecede belirgin poliovüler foliküller sergilemesine neden olurken, erkekler zayıf organize testisler ve küçük phalli geliştirmiştir (Guilette ve ark. 1994, 1995, 1996). (13) Ayrıca, amfibilerin yaygın herbisit atrazine gelişimsel olarak maruz kalmasının, erkeklerin feminizasyonuna bağlı üreme malformasyonlarına neden olduğu gösterilmiştir. (13) Bu, çoklu gonadların anormal (Hayes ve ark. 2002a), değişmiş testis anatomisini (Tavera-Mendoza ve ark. 2002, Hayes ve ark. 2003), ovotestes ve testiküler oositlerin gelişimini (Hayes ve ark. 2006, 2010, Murphy et al. 2006) ve hermafroditizm (Hayes et al. 2002a,b) (13)

IX. Sonuç

İnsanların çevreyi umursamadan gerçekleştirdikleri sorumsuz eylemlerin sonuçlarının, mevcut koşullar altında giderek daha fazla fark edileceği açıktır.

Günümüz dünyasının çevre sorunlarının önemli bir kısmının hava kirliliğinden kaynaklandığı göz önünde bulundurulduğunda, temel çözümün kirletici gazların atmosfere salınımını en aza indirmek olduğunu varsaymak mantıklı olacaktır. Hava kirliliğinin zararları birçok nedenden ötürü asla küçümsenmemelidir.

Atmosferdeki karbon gazlarının oksijene kıyasla aşırı miktarda olması nedeniyle karbon döngüsü gözle görülür bir şekilde bozulmaktadır, karbon gazları atmosferde daha fazla ısının hapsolmasına izin verdiği için bu durum küresel ısınma olarak da adlandırılmaktadır.

Hava kirliliği, insan ve hayvanlarda başta solunum sağlığı olmak üzere diğer hayati organlar için de toksik bir tehdit oluşturmaktadır. Hava kirliliğinin insanlarda yaşam beklentisini azalttığı ve ruh sağlığı hastalıklarının oluşumunu artırdığı gösterilmiş olsa da, önemi hakkında kesin bir bakış açısı için uzun vadeli etkileri hala izlenmektedir.

Dünya'nın bizim olmadığını, birçok türün paylaşması gerektiğini bilmek önemlidir. Çevremize verdiğimiz zararlar, tatlı su balıkları gibi diğer bazı türleri bizden daha fazla etkilediğinden, bu ilkeye göre yaşamak önemlidir.

Kaynakça

1. Z.Yang, Q. Song, Y. Zhang, X. Yuan, W. Wang, Q. Yui, Hava kirliliği ve ruh sağlığı: sağlık davranışlarının moderatör etkisi (IOP Publishing, 2021)

2. S. Gomez, H. Dwyer, J. . Zivin, M. Neidell, This Is Air: Hava Kirliliğinin "Sağlık Dışı" Etkileri (Yıllık İncelemeler, 2022)

3. E. T. Jacobs, J. L. Burgess, M. B. Abbott, The Donora Smog Revisited: Temiz Hava Yasasına İlham Veren Olaydan 70 Yıl Sonra (Amerikan Halk Sağlığı Örgütü, 2018)

4. D. H. Rothman, Uyarılabilir bir karbon döngüsünün karakteristik bozulmaları (Lorenz Merkezi, Yer, Atmosfer ve Gezegen Bilimleri Bölümü, Massachusetts Teknoloji Enstitüsü, Cambridge, 2019)

5. M. R. Raven, D. A. Fike, A. S. Bradley, M. L. Gomes, J. D. Owens, S. A. Webb, Paired organic matter and pyrite δ34S records reveal mechanisms of carbon, sulfur, and iron cycle disruption during Ocean Anoxic Event 2 (Dept. of Earth Sciences, University of California, Santa Barbara, 2019)

6. K. R. Smith, M. Jerrett, H. R. Anderson, R. T. Burnett, V. Stone, R. Derwent, R. W. Atkinson, A. Cohen, S. B. Shonkoff, D. Krewski, C. A. Pope, M. J. Thun, G. Thurston, Sera gazı emisyonlarını azaltma stratejilerinin halk sağlığına faydaları: kısa ömürlü sera kirleticilerinin sağlık üzerindeki etkileri (The Lancet, 2009)

7. J. A. Bernstein, N. Alexis, C. Barnes, I. L. Bernstein, J. A. Bernstein, A. Nel, D. Peden, D. Diaz-Sanchez, S. M. Tarlo, P. B. Williams, Hava kirliliğinin sağlık üzerindeki etkileri (Amerikan Alerji, Astım ve İmmünoloji Akademisi, 2004)

8. A. Singh, M. Agrawal, Asit yağmurları ve ekolojik sonuçları (Ekoloji Araştırma Laboratuvarı, Botanik Bölümü, Banaras Hindu Üniversitesi, Varanasi, Hindistan, 2006)

9. M. Haradhan, Asit Yağmurları Yerel Bir Çevre Kirliliği Ancak Küresel Bir Endişe (Premier University, Chittogang, Bangladesh, 2018)

10. S. A. Power, M. Agrawal, N. Jarraud, Hava kirliliğinin kentsel ekosistemler ve tarım üzerindeki etkileri (International Journal of Sustainable Development & World Ecology, 2011)

11. S. Alom, M. Hassan, Hava kirleticilerin insan sağlığı, küresel iklim rejimi, ekosistem hizmetleri, gıda ve geçim güvenliği üzerindeki etkileri (Zooloji Bölümü, North-Easthern Hill Üniversitesi, Shillong, Meghalaya, 2022)

12. S. Yimer, Kuraklık ve iklim değişikliği Etiyopyalı çobanları iş aramaya zorluyor (Mongbay News, 2024)

13. L. C. Aulsebrook, M. G. Bertram, J. M. Martin, A. E. Aulsebrook, T. Brodin, J. P. Evans, M. D. Hall, M. K. O'Bryan, A. J. Pask, C. R. Tyler, B. B. M. Wong, Kirli bir dünyada üreme: vahşi yaşam için çıkarımlar (Üreme ve Doğurganlık Derneği, 2020)

Makalenin İngilizce olarak yayınlanan orjinal hali aşağıdaki linkte:

https://gazeteciniz.com/effects-of-air-pollution-and-increased-carbon-emissions-on-humans-and-animals/
Yorum Ekle
Gönderilen yorumların küfür, hakaret ve suç unsuru içermemesi gerektiğini okurlarımıza önemle hatırlatırız!
Yorumlar (0)
logo
En son gelişmelerden anında haberdar olmak için 'İZİN VER' butonuna tıklayınız.